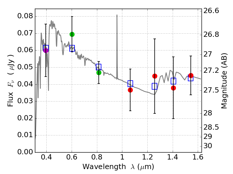
RXS0603+42-S IR detection object #6112

Color images and BPZ results
Catalog: 6112.cat
Black segments are analyzed here.   Roll mouse over color images to view segments.
Best viewed in a wide browser window (1200 pixels or more).   Download SED & P(z) plots to view larger versions.
In P(z) plots: Yellow lines mark the cluster redshift z = 0.228,  

Object #6112   x,y = (2636, 1538)   RA, Dec = (06:03:25.680, 42:08:58.56) = (90.85700, 42.14960)   BPZ = 2.432 [0.345--2.917]   type = 11.00 (SB11_A_0_l)   stellarity = 0.43   chisq2 = 0.24   ODDS = 0.28   z_cluster = 0.228