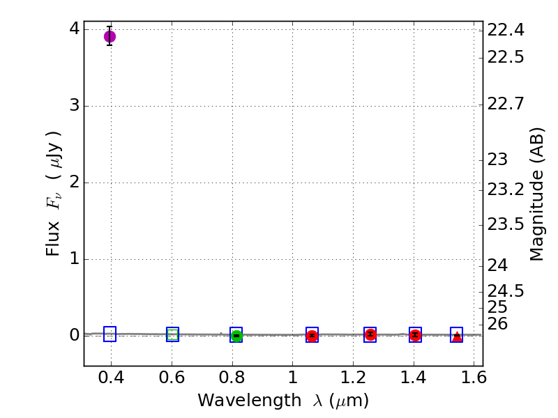
RXS0603+42-S IR detection object #6111

Color images and BPZ results
Catalog: 6111.cat
Black segments are analyzed here.   Roll mouse over color images to view segments.
Best viewed in a wide browser window (1200 pixels or more).   Download SED & P(z) plots to view larger versions.
In P(z) plots: Yellow lines mark the cluster redshift z = 0.228,  

Object #6111   x,y = (3615, 1541)   RA, Dec = (06:03:20.400, 42:08:58.92) = (90.83500, 42.14970)   BPZ = 1.728 [0.405--6.651]   type = 11.00 (SB11_A_0_l)   stellarity = 0.89   chisq2 = 359.90   ODDS = 0.16   z_cluster = 0.228