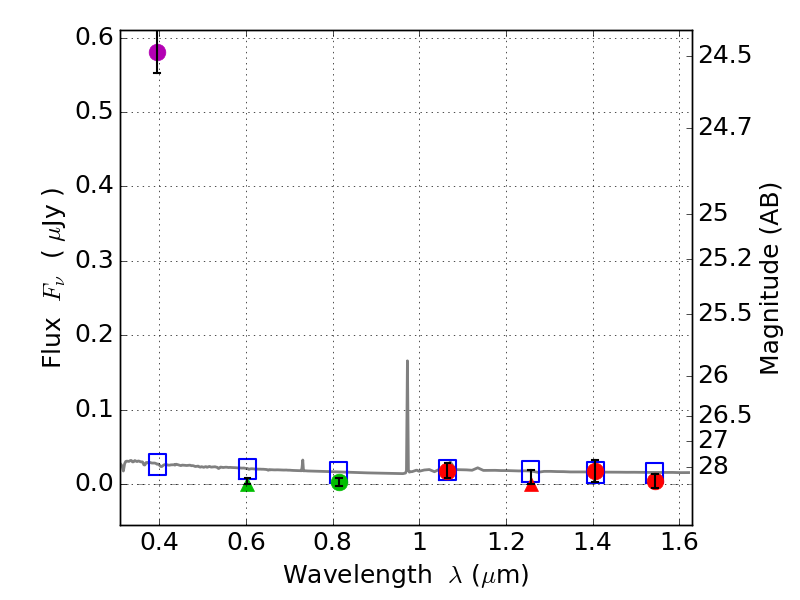
RXS0603+42-S IR detection object #6098

Color images and BPZ results
Catalog: 6098.cat
Black segments are analyzed here.   Roll mouse over color images to view segments.
Best viewed in a wide browser window (1200 pixels or more).   Download SED & P(z) plots to view larger versions.
In P(z) plots: Yellow lines mark the cluster redshift z = 0.228,  

Object #6098   x,y = (3626, 1549)   RA, Dec = (06:03:20.352, 42:08:59.28) = (90.83480, 42.14980)   BPZ = 1.612 [0.954--2.279]   type = 11.00 (SB11_A_0_l)   stellarity = 0.77   chisq2 = 94.41   ODDS = 0.34   z_cluster = 0.228