RXS0603+42-S IR detection object #6090

Color images and BPZ results
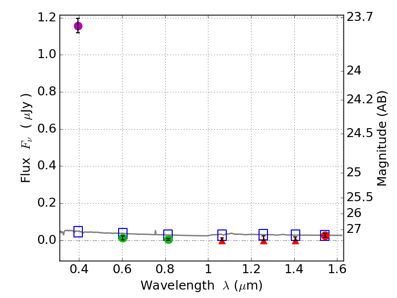
Catalog: 6090.cat
Black segments are analyzed here.   Roll mouse over color images to view segments.
Best viewed in a wide browser window (1200 pixels or more).   Download SED & P(z) plots to view larger versions.
In P(z) plots: Yellow lines mark the cluster redshift z = 0.228,  

Object #6090   x,y = (3570, 1553)   RA, Dec = (06:03:20.640, 42:08:59.64) = (90.83600, 42.14990)   BPZ = 1.700 [1.392--2.190]   type = 11.00 (SB11_A_0_l)   stellarity = 0.99   chisq2 = 197.60   ODDS = 0.42   z_cluster = 0.228