RXS0603+42-S IR detection object #6083

Color images and BPZ results
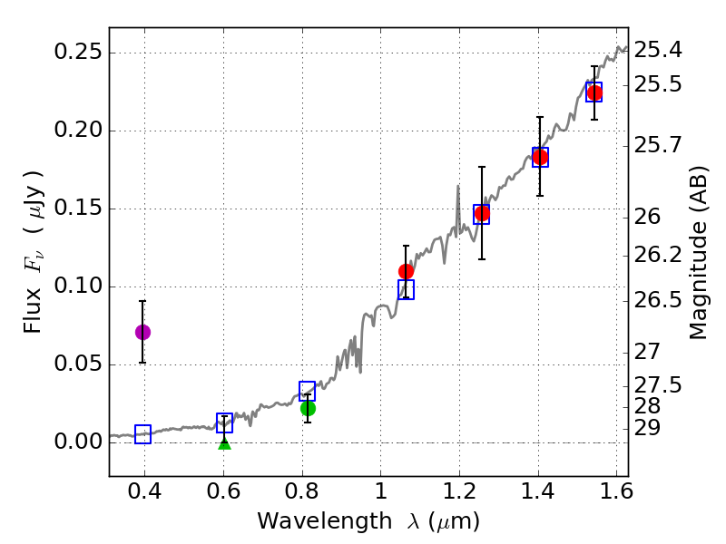
Catalog: 6083.cat
Black segments are analyzed here.   Roll mouse over color images to view segments.
Best viewed in a wide browser window (1200 pixels or more).   Download SED & P(z) plots to view larger versions.
In P(z) plots: Yellow lines mark the cluster redshift z = 0.228,  

Object #6083   x,y = (1992, 1548)   RA, Dec = (06:03:29.160, 42:08:59.28) = (90.87150, 42.14980)   BPZ = 1.387 [1.082--1.904]   type = 6.00 (Sbc_B10)   stellarity = 0.36   chisq2 = 2.00   ODDS = 0.38   z_cluster = 0.228