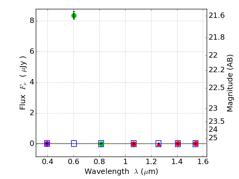
RXS0603+42-S IR detection object #6080

Color images and BPZ results
Catalog: 6080.cat
Black segments are analyzed here.   Roll mouse over color images to view segments.
Best viewed in a wide browser window (1200 pixels or more).   Download SED & P(z) plots to view larger versions.
In P(z) plots: Yellow lines mark the cluster redshift z = 0.228,  

Object #6080   x,y = (1821, 1560)   RA, Dec = (06:03:30.072, 42:09:0) = (90.87530, 42.15000)   BPZ = 2.395 [0.229--4.365]   type = 11.00 (SB11_A_0_l)   stellarity = 0.69   chisq2 = 286.20   ODDS = 0.10   z_cluster = 0.228