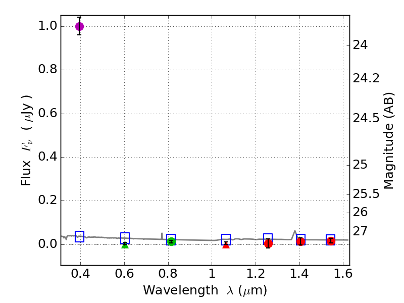
RXS0603+42-S IR detection object #6075

Color images and BPZ results
Catalog: 6075.cat
Black segments are analyzed here.   Roll mouse over color images to view segments.
Best viewed in a wide browser window (1200 pixels or more).   Download SED & P(z) plots to view larger versions.
In P(z) plots: Yellow lines mark the cluster redshift z = 0.228,  

Object #6075   x,y = (3629, 1561)   RA, Dec = (06:03:20.328, 42:09:0) = (90.83470, 42.15000)   BPZ = 1.763 [1.026--2.279]   type = 11.00 (SB11_A_0_l)   stellarity = 0.96   chisq2 = 150.50   ODDS = 0.37   z_cluster = 0.228