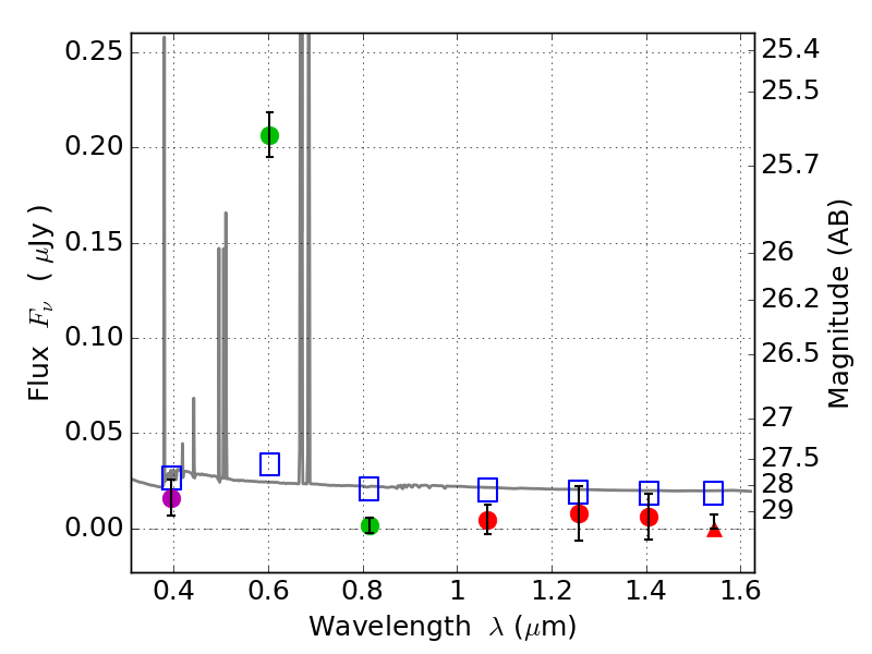
RXS0603+42-S IR detection object #6066

Color images and BPZ results
Catalog: 6066.cat
Black segments are analyzed here.   Roll mouse over color images to view segments.
Best viewed in a wide browser window (1200 pixels or more).   Download SED & P(z) plots to view larger versions.
In P(z) plots: Yellow lines mark the cluster redshift z = 0.228,  

Object #6066   x,y = (1869, 1567)   RA, Dec = (06:03:29.832, 42:09:00.36) = (90.87430, 42.15010)   BPZ = 0.023 [0.010--2.760]   type = 11.00 (SB11_A_0_l)   stellarity = 0.47   chisq2 = 58.84   ODDS = 0.93   z_cluster = 0.228