RXS0603+42-S IR detection object #6044

Color images and BPZ results
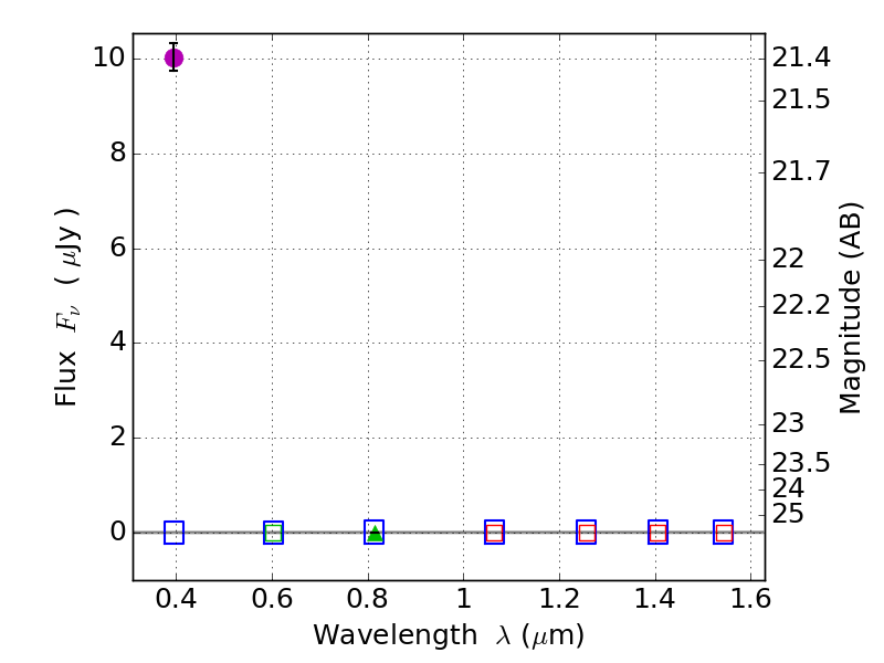
Catalog: 6044.cat
Black segments are analyzed here.   Roll mouse over color images to view segments.
Best viewed in a wide browser window (1200 pixels or more).   Download SED & P(z) plots to view larger versions.
In P(z) plots: Yellow lines mark the cluster redshift z = 0.228,  

Object #6044   x,y = (1447, 1576)   RA, Dec = (06:03:32.088, 42:09:00.72) = (90.88370, 42.15020)   BPZ = 0.363 [0.044--0.863]   type = 7.00 (Scd_B10)   stellarity = 0.93   chisq2 = 1149.00   ODDS = 0.19   z_cluster = 0.228