RXS0603+42-S IR detection object #6035

Color images and BPZ results
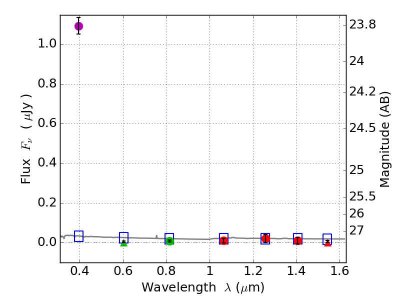
Catalog: 6035.cat
Black segments are analyzed here.   Roll mouse over color images to view segments.
Best viewed in a wide browser window (1200 pixels or more).   Download SED & P(z) plots to view larger versions.
In P(z) plots: Yellow lines mark the cluster redshift z = 0.228,  

Object #6035   x,y = (3611, 1589)   RA, Dec = (06:03:20.424, 42:09:01.80) = (90.83510, 42.15050)   BPZ = 1.699 [0.909--2.261]   type = 11.00 (SB11_A_0_l)   stellarity = 0.95   chisq2 = 163.50   ODDS = 0.44   z_cluster = 0.228