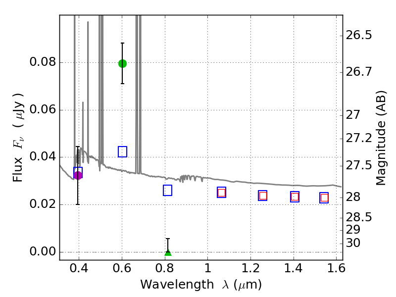
RXS0603+42-S IR detection object #599

Color images and BPZ results
Catalog: 599.cat
Black segments are analyzed here.   Roll mouse over color images to view segments.
Best viewed in a wide browser window (1200 pixels or more).   Download SED & P(z) plots to view larger versions.
In P(z) plots: Yellow lines mark the cluster redshift z = 0.228,  

Object #599   x,y = (2115, 4098)   RA, Dec = (06:03:28.488, 42:11:32.28) = (90.86870, 42.19230)   BPZ = 0.025 [0.013--2.813]   type = 11.00 (SB11_A_0_l)   stellarity = 0.06   chisq2 = 33.93   ODDS = 0.30   z_cluster = 0.228