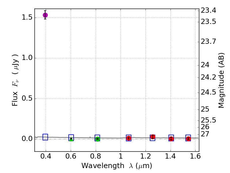
RXS0603+42-S IR detection object #5965

Color images and BPZ results
Catalog: 5965.cat
Black segments are analyzed here.   Roll mouse over color images to view segments.
Best viewed in a wide browser window (1200 pixels or more).   Download SED & P(z) plots to view larger versions.
In P(z) plots: Yellow lines mark the cluster redshift z = 0.228,  

Object #5965   x,y = (3625, 1614)   RA, Dec = (06:03:20.352, 42:09:03.24) = (90.83480, 42.15090)   BPZ = 1.700 [0.711--2.795]   type = 11.00 (SB11_A_0_l)   stellarity = 0.95   chisq2 = 208.20   ODDS = 0.30   z_cluster = 0.228