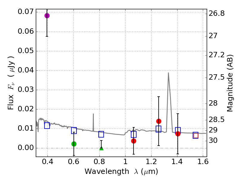
RXS0603+42-S IR detection object #5949

Color images and BPZ results
Catalog: 5949.cat
Black segments are analyzed here.   Roll mouse over color images to view segments.
Best viewed in a wide browser window (1200 pixels or more).   Download SED & P(z) plots to view larger versions.
In P(z) plots: Yellow lines mark the cluster redshift z = 0.228,  

Object #5949   x,y = (2620, 1624)   RA, Dec = (06:03:25.776, 42:09:03.60) = (90.85740, 42.15100)   BPZ = 1.694 [0.462--6.446]   type = 11.00 (SB11_A_0_l)   stellarity = 0.38   chisq2 = 10.66   ODDS = 0.14   z_cluster = 0.228