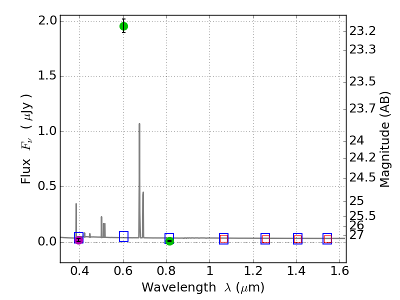
RXS0603+42-S IR detection object #5941

Color images and BPZ results
Catalog: 5941.cat
Black segments are analyzed here.   Roll mouse over color images to view segments.
Best viewed in a wide browser window (1200 pixels or more).   Download SED & P(z) plots to view larger versions.
In P(z) plots: Yellow lines mark the cluster redshift z = 0.228,  

Object #5941   x,y = (1591, 1628)   RA, Dec = (06:03:31.320, 42:09:03.96) = (90.88050, 42.15110)   BPZ = 0.026 [0.019--3.191]   type = 11.00 (SB11_A_0_l)   stellarity = 0.64   chisq2 = 986.10   ODDS = 0.12   z_cluster = 0.228