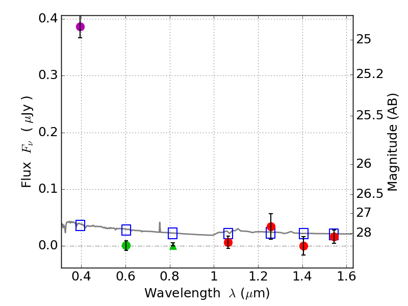
RXS0603+42-S IR detection object #5921

Color images and BPZ results
Catalog: 5921.cat
Black segments are analyzed here.   Roll mouse over color images to view segments.
Best viewed in a wide browser window (1200 pixels or more).   Download SED & P(z) plots to view larger versions.
In P(z) plots: Yellow lines mark the cluster redshift z = 0.228,  

Object #5921   x,y = (2919, 2288)   RA, Dec = (06:03:24.168, 42:09:43.56) = (90.85070, 42.16210)   BPZ = 1.699 [1.362--2.112]   type = 11.00 (SB11_A_0_l)   stellarity = 0.72   chisq2 = 83.93   ODDS = 0.51   z_cluster = 0.228