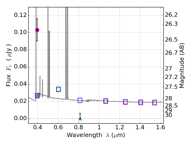
RXS0603+42-S IR detection object #592

Color images and BPZ results
Catalog: 592.cat
Black segments are analyzed here.   Roll mouse over color images to view segments.
Best viewed in a wide browser window (1200 pixels or more).   Download SED & P(z) plots to view larger versions.
In P(z) plots: Yellow lines mark the cluster redshift z = 0.228,  

Object #592   x,y = (2075, 4105)   RA, Dec = (06:03:28.704, 42:11:32.64) = (90.86960, 42.19240)   BPZ = 0.026 [0.011--0.625]   type = 11.00 (SB11_A_0_l)   stellarity = 0.40   chisq2 = 44.74   ODDS = 0.77   z_cluster = 0.228