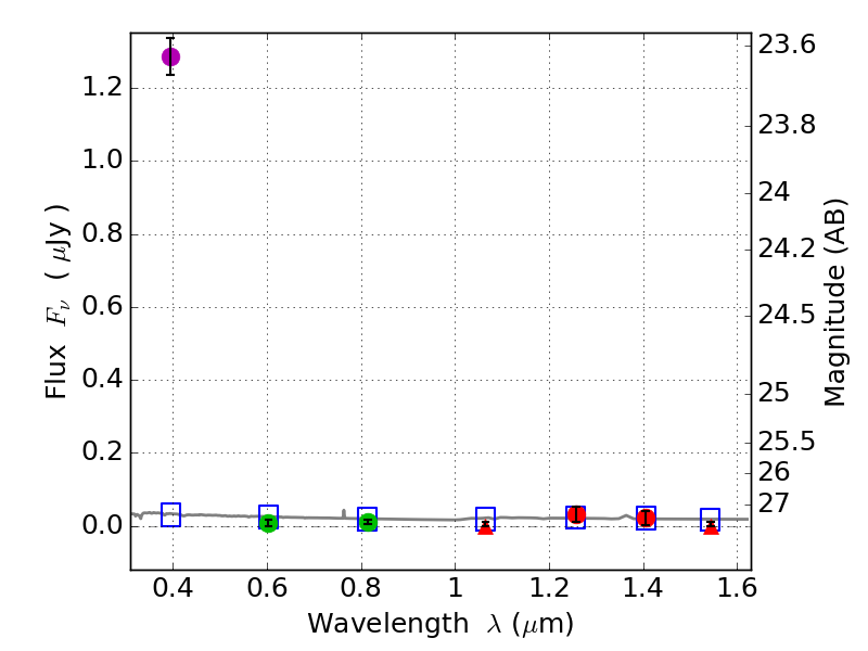
RXS0603+42-S IR detection object #5910

Color images and BPZ results
Catalog: 5910.cat
Black segments are analyzed here.   Roll mouse over color images to view segments.
Best viewed in a wide browser window (1200 pixels or more).   Download SED & P(z) plots to view larger versions.
In P(z) plots: Yellow lines mark the cluster redshift z = 0.228,  

Object #5910   x,y = (3680, 1638)   RA, Dec = (06:03:20.040, 42:09:04.68) = (90.83350, 42.15130)   BPZ = 1.727 [0.848--2.365]   type = 11.00 (SB11_A_0_l)   stellarity = 0.65   chisq2 = 157.00   ODDS = 0.38   z_cluster = 0.228