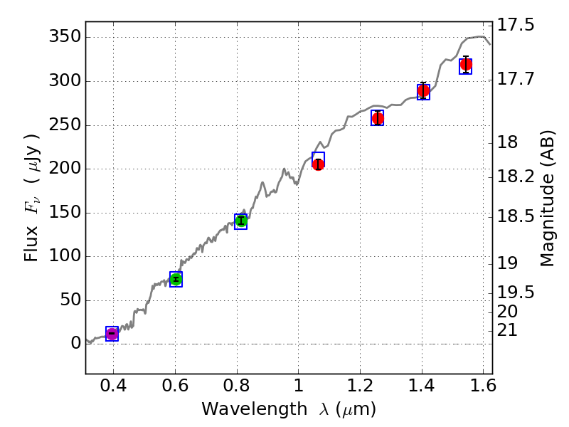
RXS0603+42-S IR detection object #5891

Color images and BPZ results
Catalog: 5891.cat
Black segments are analyzed here.   Roll mouse over color images to view segments.
Best viewed in a wide browser window (1200 pixels or more).   Download SED & P(z) plots to view larger versions.
In P(z) plots: Yellow lines mark the cluster redshift z = 0.228,  

Object #5891   x,y = (2152, 1591)   RA, Dec = (06:03:28.296, 42:09:01.80) = (90.86790, 42.15050)   BPZ = 0.174 [0.136--0.224]   type = 4.70 (ES0_B10 - Ell4_A_0)   stellarity = 0.03   chisq2 = 0.02   ODDS = 0.96   z_cluster = 0.228