RXS0603+42-S IR detection object #5887

Color images and BPZ results
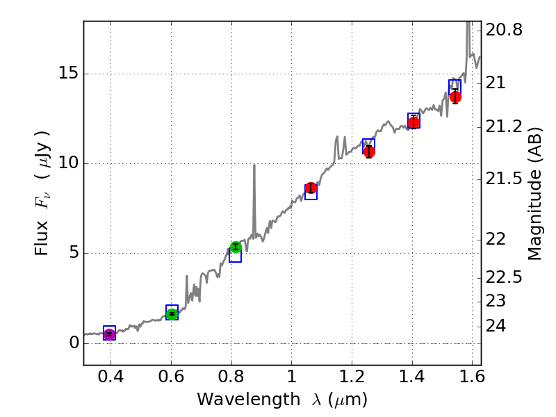
Catalog: 5887.cat
Black segments are analyzed here.   Roll mouse over color images to view segments.
Best viewed in a wide browser window (1200 pixels or more).   Download SED & P(z) plots to view larger versions.
In P(z) plots: Yellow lines mark the cluster redshift z = 0.228,  

Object #5887   x,y = (2190, 1539)   RA, Dec = (06:03:28.080, 42:08:58.56) = (90.86700, 42.14960)   BPZ = 0.749 [0.546--0.807]   type = 6.30 (Sbc_B10 - Scd_B10)   stellarity = 0.46   chisq2 = 0.17   ODDS = 0.70   z_cluster = 0.228