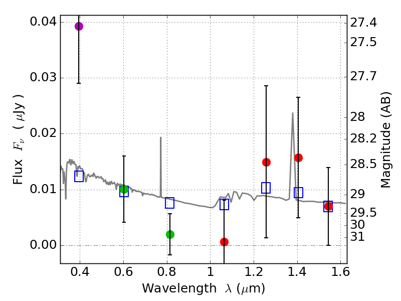
RXS0603+42-S IR detection object #5869

Color images and BPZ results
Catalog: 5869.cat
Black segments are analyzed here.   Roll mouse over color images to view segments.
Best viewed in a wide browser window (1200 pixels or more).   Download SED & P(z) plots to view larger versions.
In P(z) plots: Yellow lines mark the cluster redshift z = 0.228,  

Object #5869   x,y = (3099, 1670)   RA, Dec = (06:03:23.184, 42:09:06.48) = (90.84660, 42.15180)   BPZ = 1.757 [0.407--5.088]   type = 11.00 (SB11_A_0_l)   stellarity = 0.36   chisq2 = 2.58   ODDS = 0.14   z_cluster = 0.228