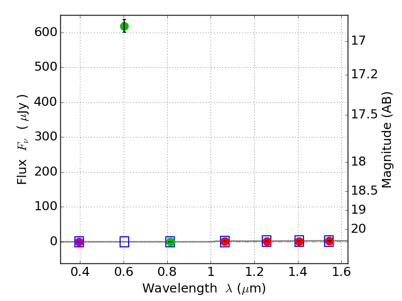
RXS0603+42-S IR detection object #5826

Color images and BPZ results
Catalog: 5826.cat
Black segments are analyzed here.   Roll mouse over color images to view segments.
Best viewed in a wide browser window (1200 pixels or more).   Download SED & P(z) plots to view larger versions.
In P(z) plots: Yellow lines mark the cluster redshift z = 0.228,  

Object #5826   x,y = (1680, 2089)   RA, Dec = (06:03:30.840, 42:09:31.68) = (90.87850, 42.15880)   BPZ = 7.320 [1.390--7.513]   type = 7.40 (Scd_B10 - SB1_B10)   stellarity = 1.00   chisq2 = 291.80   ODDS = 0.65   z_cluster = 0.228