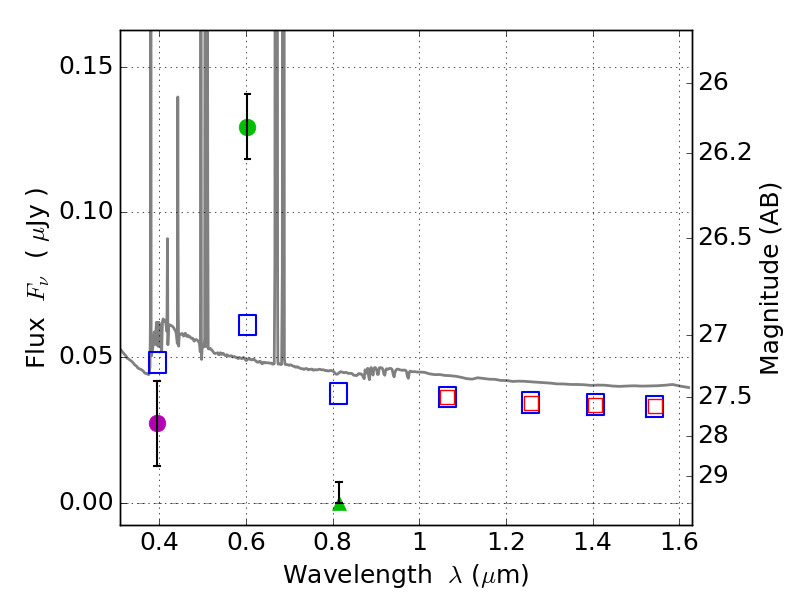
RXS0603+42-S IR detection object #578

Color images and BPZ results
Catalog: 578.cat
Black segments are analyzed here.   Roll mouse over color images to view segments.
Best viewed in a wide browser window (1200 pixels or more).   Download SED & P(z) plots to view larger versions.
In P(z) plots: Yellow lines mark the cluster redshift z = 0.228,  

Object #578   x,y = (2137, 4108)   RA, Dec = (06:03:28.368, 42:11:32.64) = (90.86820, 42.19240)   BPZ = 0.023 [0.010--2.715]   type = 11.00 (SB11_A_0_l)   stellarity = 0.36   chisq2 = 55.60   ODDS = 0.90   z_cluster = 0.228