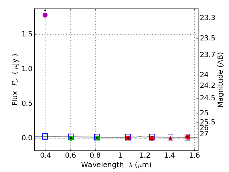
RXS0603+42-S IR detection object #5741

Color images and BPZ results
Catalog: 5741.cat
Black segments are analyzed here.   Roll mouse over color images to view segments.
Best viewed in a wide browser window (1200 pixels or more).   Download SED & P(z) plots to view larger versions.
In P(z) plots: Yellow lines mark the cluster redshift z = 0.228,  

Object #5741   x,y = (3660, 1725)   RA, Dec = (06:03:20.160, 42:09:09.72) = (90.83400, 42.15270)   BPZ = 1.827 [0.718--2.603]   type = 11.00 (SB11_A_0_l)   stellarity = 0.99   chisq2 = 218.10   ODDS = 0.24   z_cluster = 0.228