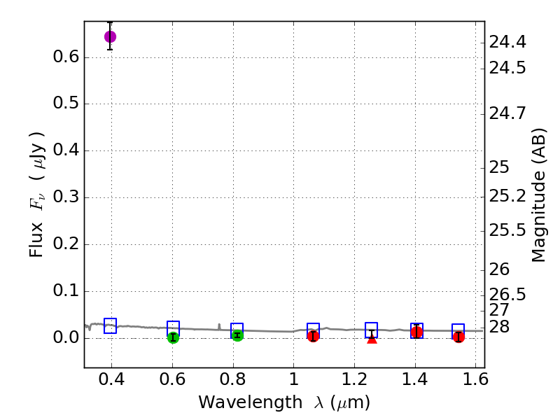
RXS0603+42-S IR detection object #5729

Color images and BPZ results
Catalog: 5729.cat
Black segments are analyzed here.   Roll mouse over color images to view segments.
Best viewed in a wide browser window (1200 pixels or more).   Download SED & P(z) plots to view larger versions.
In P(z) plots: Yellow lines mark the cluster redshift z = 0.228,  

Object #5729   x,y = (3679, 1736)   RA, Dec = (06:03:20.064, 42:09:10.44) = (90.83360, 42.15290)   BPZ = 1.699 [0.984--2.296]   type = 11.00 (SB11_A_0_l)   stellarity = 0.64   chisq2 = 118.00   ODDS = 0.39   z_cluster = 0.228