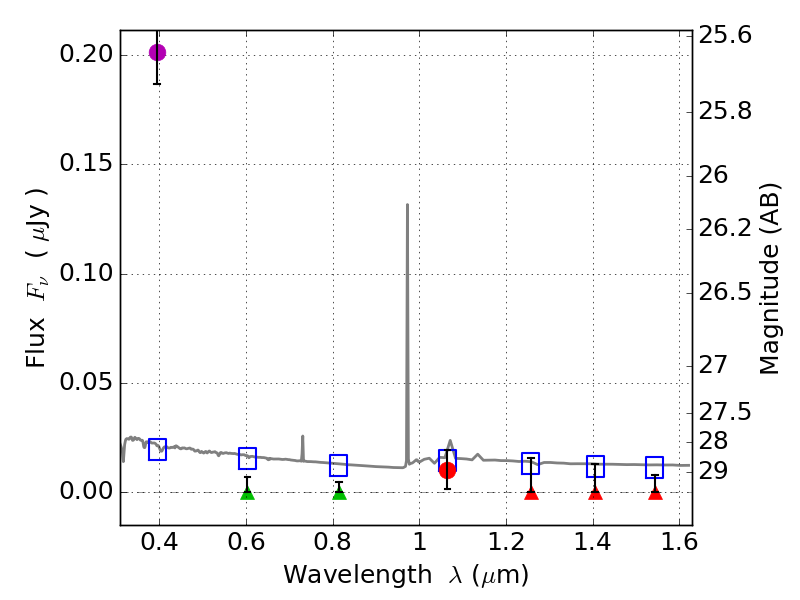
RXS0603+42-S IR detection object #5712

Color images and BPZ results
Catalog: 5712.cat
Black segments are analyzed here.   Roll mouse over color images to view segments.
Best viewed in a wide browser window (1200 pixels or more).   Download SED & P(z) plots to view larger versions.
In P(z) plots: Yellow lines mark the cluster redshift z = 0.228,  

Object #5712   x,y = (2175, 2298)   RA, Dec = (06:03:28.176, 42:09:44.28) = (90.86740, 42.16230)   BPZ = 1.612 [0.855--2.338]   type = 11.00 (SB11_A_0_l)   stellarity = 0.64   chisq2 = 40.75   ODDS = 0.32   z_cluster = 0.228