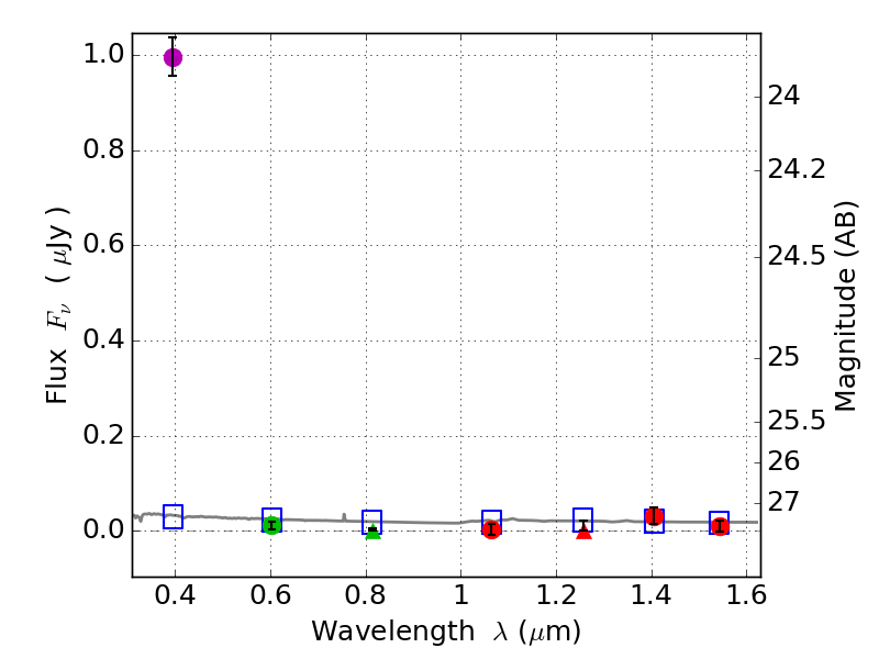
RXS0603+42-S IR detection object #5699

Color images and BPZ results
Catalog: 5699.cat
Black segments are analyzed here.   Roll mouse over color images to view segments.
Best viewed in a wide browser window (1200 pixels or more).   Download SED & P(z) plots to view larger versions.
In P(z) plots: Yellow lines mark the cluster redshift z = 0.228,  

Object #5699   x,y = (3677, 1747)   RA, Dec = (06:03:20.064, 42:09:11.16) = (90.83360, 42.15310)   BPZ = 1.696 [1.128--2.290]   type = 11.00 (SB11_A_0_l)   stellarity = 0.67   chisq2 = 151.90   ODDS = 0.38   z_cluster = 0.228