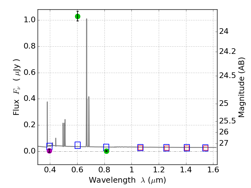
RXS0603+42-S IR detection object #5696

Color images and BPZ results
Catalog: 5696.cat
Black segments are analyzed here.   Roll mouse over color images to view segments.
Best viewed in a wide browser window (1200 pixels or more).   Download SED & P(z) plots to view larger versions.
In P(z) plots: Yellow lines mark the cluster redshift z = 0.228,  

Object #5696   x,y = (1123, 1748)   RA, Dec = (06:03:33.840, 42:09:11.16) = (90.89100, 42.15310)   BPZ = 0.024 [0.012--3.297]   type = 11.00 (SB11_A_0_l)   stellarity = 0.70   chisq2 = 759.40   ODDS = 0.36   z_cluster = 0.228