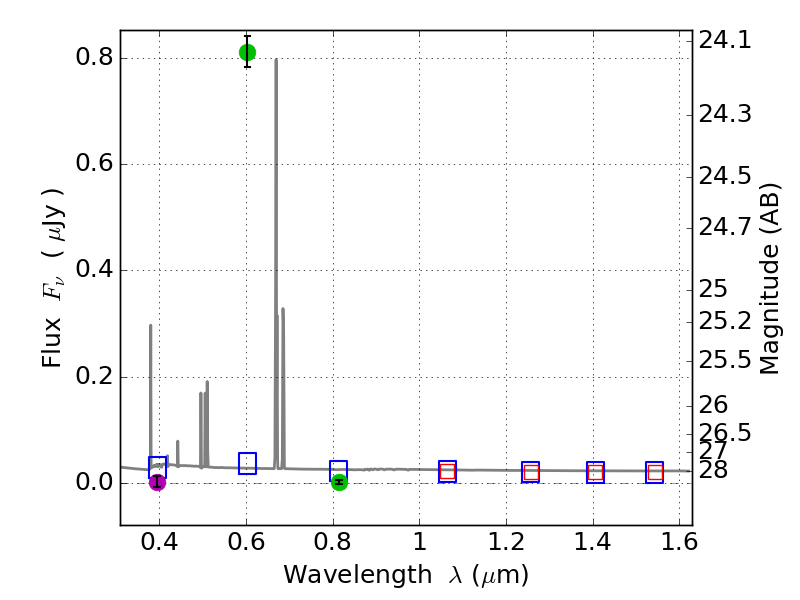
RXS0603+42-S IR detection object #5693

Color images and BPZ results
Catalog: 5693.cat
Black segments are analyzed here.   Roll mouse over color images to view segments.
Best viewed in a wide browser window (1200 pixels or more).   Download SED & P(z) plots to view larger versions.
In P(z) plots: Yellow lines mark the cluster redshift z = 0.228,  

Object #5693   x,y = (1239, 1750)   RA, Dec = (06:03:33.216, 42:09:11.16) = (90.88840, 42.15310)   BPZ = 0.024 [0.013--3.338]   type = 11.00 (SB11_A_0_l)   stellarity = 0.95   chisq2 = 730.00   ODDS = 0.30   z_cluster = 0.228