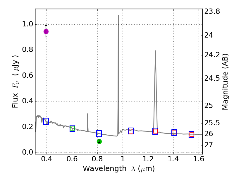
RXS0603+42-S IR detection object #5670

Color images and BPZ results
Catalog: 5670.cat
Black segments are analyzed here.   Roll mouse over color images to view segments.
Best viewed in a wide browser window (1200 pixels or more).   Download SED & P(z) plots to view larger versions.
In P(z) plots: Yellow lines mark the cluster redshift z = 0.228,  

Object #5670   x,y = (842, 1754)   RA, Dec = (06:03:35.376, 42:09:11.52) = (90.89740, 42.15320)   BPZ = 1.593 [1.452--1.842]   type = 11.00 (SB11_A_0_l)   stellarity = 0.98   chisq2 = 226.50   ODDS = 0.72   z_cluster = 0.228