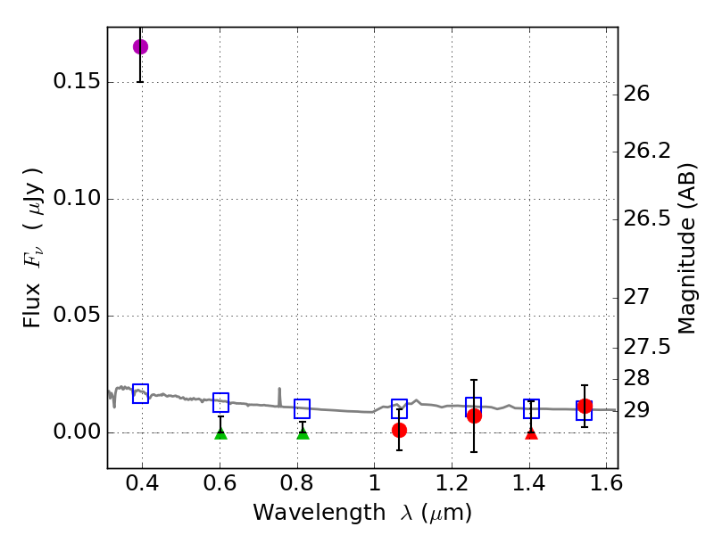
RXS0603+42-S IR detection object #5665

Color images and BPZ results
Catalog: 5665.cat
Black segments are analyzed here.   Roll mouse over color images to view segments.
Best viewed in a wide browser window (1200 pixels or more).   Download SED & P(z) plots to view larger versions.
In P(z) plots: Yellow lines mark the cluster redshift z = 0.228,  

Object #5665   x,y = (3629, 1758)   RA, Dec = (06:03:20.328, 42:09:11.88) = (90.83470, 42.15330)   BPZ = 1.699 [0.672--3.852]   type = 11.00 (SB11_A_0_l)   stellarity = 0.55   chisq2 = 25.89   ODDS = 0.20   z_cluster = 0.228