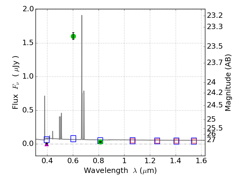
RXS0603+42-S IR detection object #5663

Color images and BPZ results
Catalog: 5663.cat
Black segments are analyzed here.   Roll mouse over color images to view segments.
Best viewed in a wide browser window (1200 pixels or more).   Download SED & P(z) plots to view larger versions.
In P(z) plots: Yellow lines mark the cluster redshift z = 0.228,  

Object #5663   x,y = (1153, 1758)   RA, Dec = (06:03:33.672, 42:09:11.88) = (90.89030, 42.15330)   BPZ = 0.024 [0.012--3.408]   type = 11.00 (SB11_A_0_l)   stellarity = 0.76   chisq2 = 885.50   ODDS = 0.40   z_cluster = 0.228