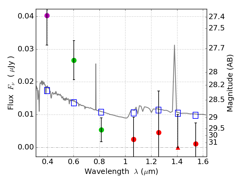
RXS0603+42-S IR detection object #5636

Color images and BPZ results
Catalog: 5636.cat
Black segments are analyzed here.   Roll mouse over color images to view segments.
Best viewed in a wide browser window (1200 pixels or more).   Download SED & P(z) plots to view larger versions.
In P(z) plots: Yellow lines mark the cluster redshift z = 0.228,  

Object #5636   x,y = (2040, 2291)   RA, Dec = (06:03:28.896, 42:09:43.92) = (90.87040, 42.16220)   BPZ = 1.764 [0.295--2.853]   type = 11.00 (SB11_A_0_l)   stellarity = 0.43   chisq2 = 4.37   ODDS = 0.23   z_cluster = 0.228