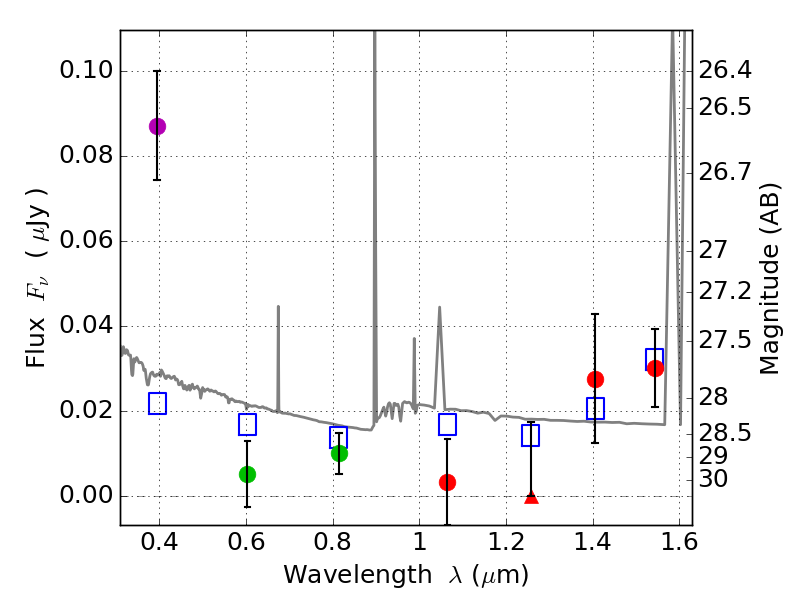
RXS0603+42-S IR detection object #5615

Color images and BPZ results
Catalog: 5615.cat
Black segments are analyzed here.   Roll mouse over color images to view segments.
Best viewed in a wide browser window (1200 pixels or more).   Download SED & P(z) plots to view larger versions.
In P(z) plots: Yellow lines mark the cluster redshift z = 0.228,  

Object #5615   x,y = (2378, 1781)   RA, Dec = (06:03:27.072, 42:09:13.32) = (90.86280, 42.15370)   BPZ = 1.412 [0.993--2.445]   type = 11.00 (SB11_A_0_l)   stellarity = 0.36   chisq2 = 7.56   ODDS = 0.18   z_cluster = 0.228