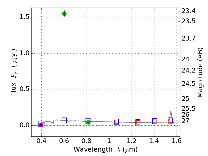
RXS0603+42-S IR detection object #5598

Color images and BPZ results
Catalog: 5598.cat
Black segments are analyzed here.   Roll mouse over color images to view segments.
Best viewed in a wide browser window (1200 pixels or more).   Download SED & P(z) plots to view larger versions.
In P(z) plots: Yellow lines mark the cluster redshift z = 0.228,  

Object #5598   x,y = (1114, 1789)   RA, Dec = (06:03:33.888, 42:09:13.68) = (90.89120, 42.15380)   BPZ = 3.156 [0.028--3.485]   type = 11.00 (SB11_A_0_l)   stellarity = 0.96   chisq2 = 898.30   ODDS = 0.63   z_cluster = 0.228