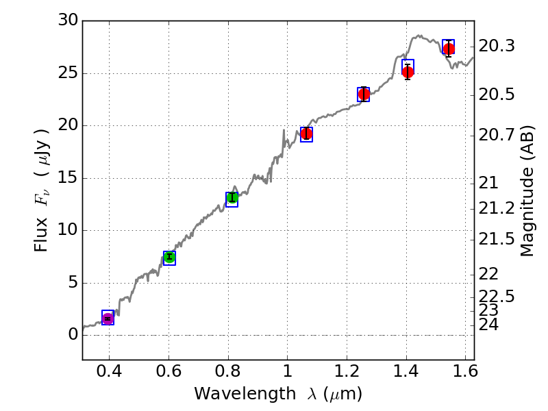
RXS0603+42-S IR detection object #5549

Color images and BPZ results
Catalog: 5549.cat
Black segments are analyzed here.   Roll mouse over color images to view segments.
Best viewed in a wide browser window (1200 pixels or more).   Download SED & P(z) plots to view larger versions.
In P(z) plots: Yellow lines mark the cluster redshift z = 0.228,  

Object #5549   x,y = (2923, 1774)   RA, Dec = (06:03:24.144, 42:09:12.60) = (90.85060, 42.15350)   BPZ = 0.095 [0.052--0.189]   type = 5.60 (Sbc_B10 - ES0_B10)   stellarity = 0.03   chisq2 = 0.03   ODDS = 0.87   z_cluster = 0.228