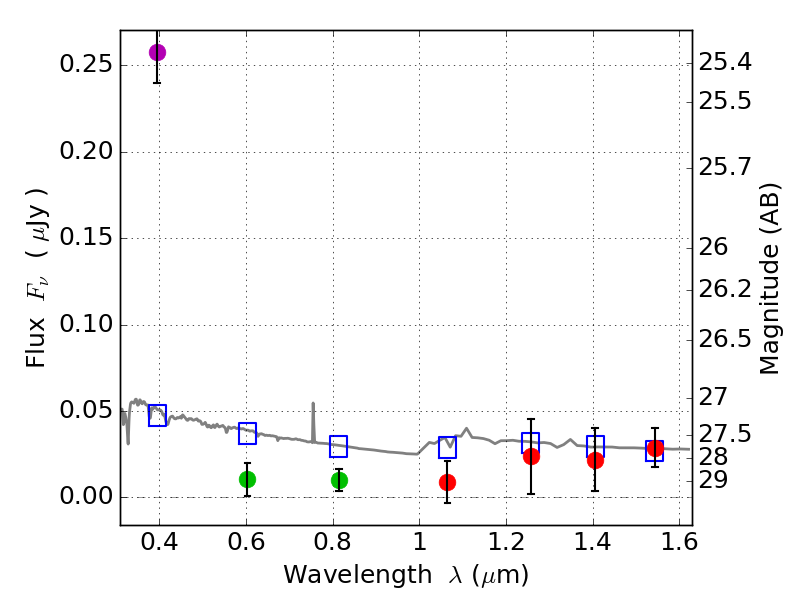
RXS0603+42-S IR detection object #5511

Color images and BPZ results
Catalog: 5511.cat
Black segments are analyzed here.   Roll mouse over color images to view segments.
Best viewed in a wide browser window (1200 pixels or more).   Download SED & P(z) plots to view larger versions.
In P(z) plots: Yellow lines mark the cluster redshift z = 0.228,  

Object #5511   x,y = (3265, 1823)   RA, Dec = (06:03:22.296, 42:09:15.84) = (90.84290, 42.15440)   BPZ = 1.698 [1.344--2.160]   type = 11.00 (SB11_A_0_l)   stellarity = 0.64   chisq2 = 36.01   ODDS = 0.44   z_cluster = 0.228