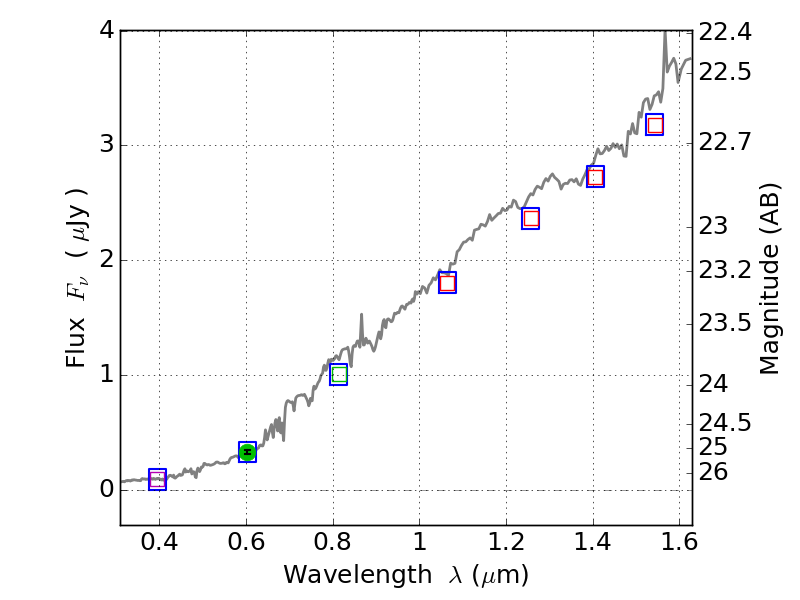
RXS0603+42-S IR detection object #55

Color images and BPZ results
Catalog: 55.cat
Black segments are analyzed here.   Roll mouse over color images to view segments.
Best viewed in a wide browser window (1200 pixels or more).   Download SED & P(z) plots to view larger versions.
In P(z) plots: Yellow lines mark the cluster redshift z = 0.228,  

Object #55   x,y = (2231, 4329)   RA, Dec = (06:03:27.864, 42:11:45.96) = (90.86610, 42.19610)   BPZ = 0.730 [0.183--4.374]   type = 6.00 (Sbc_B10)   stellarity = 0.95   chisq2 = 990.00   ODDS = 0.09   z_cluster = 0.228