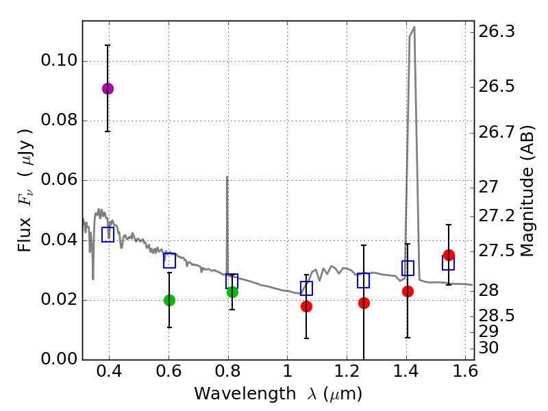
RXS0603+42-S IR detection object #5479

Color images and BPZ results
Catalog: 5479.cat
Black segments are analyzed here.   Roll mouse over color images to view segments.
Best viewed in a wide browser window (1200 pixels or more).   Download SED & P(z) plots to view larger versions.
In P(z) plots: Yellow lines mark the cluster redshift z = 0.228,  

Object #5479   x,y = (2260, 1838)   RA, Dec = (06:03:27.720, 42:09:16.56) = (90.86550, 42.15460)   BPZ = 1.855 [0.970--2.413]   type = 11.00 (SB11_A_0_l)   stellarity = 0.36   chisq2 = 3.52   ODDS = 0.26   z_cluster = 0.228