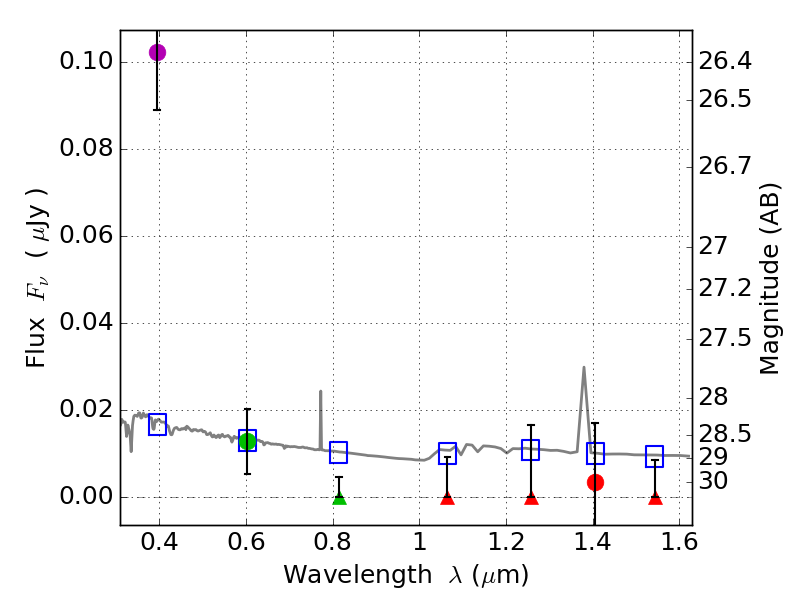
RXS0603+42-S IR detection object #5461

Color images and BPZ results
Catalog: 5461.cat
Black segments are analyzed here.   Roll mouse over color images to view segments.
Best viewed in a wide browser window (1200 pixels or more).   Download SED & P(z) plots to view larger versions.
In P(z) plots: Yellow lines mark the cluster redshift z = 0.228,  

Object #5461   x,y = (1817, 1847)   RA, Dec = (06:03:30.096, 42:09:17.28) = (90.87540, 42.15480)   BPZ = 1.763 [0.443--3.134]   type = 11.00 (SB11_A_0_l)   stellarity = 0.18   chisq2 = 11.96   ODDS = 0.22   z_cluster = 0.228