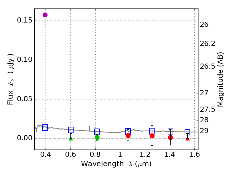
RXS0603+42-S IR detection object #5443

Color images and BPZ results
Catalog: 5443.cat
Black segments are analyzed here.   Roll mouse over color images to view segments.
Best viewed in a wide browser window (1200 pixels or more).   Download SED & P(z) plots to view larger versions.
In P(z) plots: Yellow lines mark the cluster redshift z = 0.228,  

Object #5443   x,y = (3553, 1857)   RA, Dec = (06:03:20.736, 42:09:17.64) = (90.83640, 42.15490)   BPZ = 1.701 [0.585--3.402]   type = 11.00 (SB11_A_0_l)   stellarity = 0.62   chisq2 = 31.36   ODDS = 0.26   z_cluster = 0.228