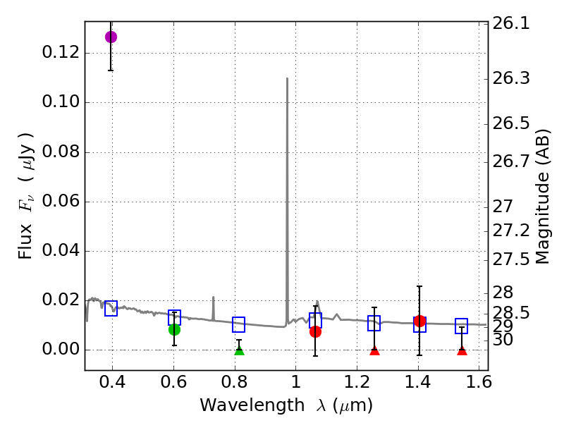
RXS0603+42-S IR detection object #5398

Color images and BPZ results
Catalog: 5398.cat
Black segments are analyzed here.   Roll mouse over color images to view segments.
Best viewed in a wide browser window (1200 pixels or more).   Download SED & P(z) plots to view larger versions.
In P(z) plots: Yellow lines mark the cluster redshift z = 0.228,  

Object #5398   x,y = (3682, 1881)   RA, Dec = (06:03:20.040, 42:09:19.08) = (90.83350, 42.15530)   BPZ = 1.610 [0.627--2.665]   type = 11.00 (SB11_A_0_l)   stellarity = 0.46   chisq2 = 17.83   ODDS = 0.24   z_cluster = 0.228