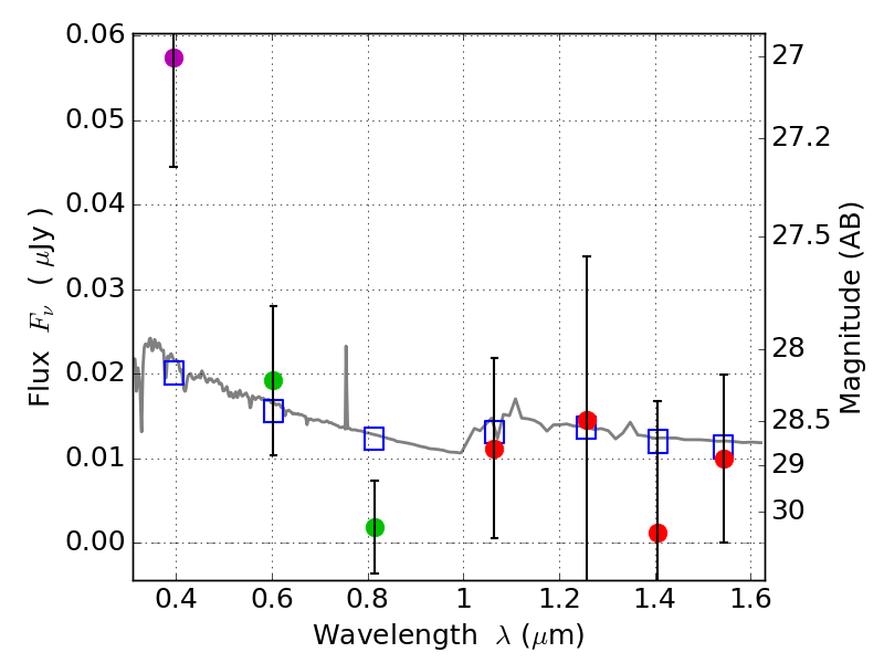
RXS0603+42-S IR detection object #5395

Color images and BPZ results
Catalog: 5395.cat
Black segments are analyzed here.   Roll mouse over color images to view segments.
Best viewed in a wide browser window (1200 pixels or more).   Download SED & P(z) plots to view larger versions.
In P(z) plots: Yellow lines mark the cluster redshift z = 0.228,  

Object #5395   x,y = (2867, 1881)   RA, Dec = (06:03:24.432, 42:09:19.08) = (90.85180, 42.15530)   BPZ = 1.703 [0.458--3.347]   type = 11.00 (SB11_A_0_l)   stellarity = 0.40   chisq2 = 3.07   ODDS = 0.18   z_cluster = 0.228