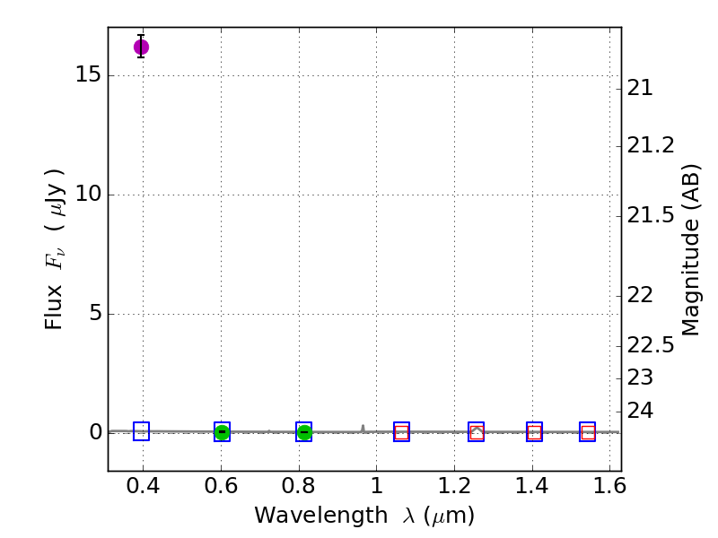
RXS0603+42-S IR detection object #5367

Color images and BPZ results
Catalog: 5367.cat
Black segments are analyzed here.   Roll mouse over color images to view segments.
Best viewed in a wide browser window (1200 pixels or more).   Download SED & P(z) plots to view larger versions.
In P(z) plots: Yellow lines mark the cluster redshift z = 0.228,  

Object #5367   x,y = (3730, 1895)   RA, Dec = (06:03:19.776, 42:09:20.16) = (90.83240, 42.15560)   BPZ = 1.592 [0.363--2.986]   type = 11.00 (SB11_A_0_l)   stellarity = 0.95   chisq2 = 1140.00   ODDS = 0.14   z_cluster = 0.228