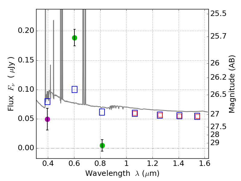
RXS0603+42-S IR detection object #535

Color images and BPZ results
Catalog: 535.cat
Black segments are analyzed here.   Roll mouse over color images to view segments.
Best viewed in a wide browser window (1200 pixels or more).   Download SED & P(z) plots to view larger versions.
In P(z) plots: Yellow lines mark the cluster redshift z = 0.228,  

Object #535   x,y = (2177, 4128)   RA, Dec = (06:03:28.152, 42:11:34.08) = (90.86730, 42.19280)   BPZ = 0.022 [0.010--0.050]   type = 11.00 (SB11_A_0_l)   stellarity = 0.36   chisq2 = 57.23   ODDS = 0.99   z_cluster = 0.228