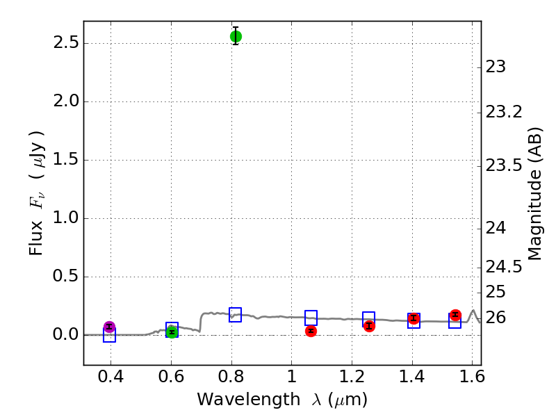
RXS0603+42-S IR detection object #5307

Color images and BPZ results
Catalog: 5307.cat
Black segments are analyzed here.   Roll mouse over color images to view segments.
Best viewed in a wide browser window (1200 pixels or more).   Download SED & P(z) plots to view larger versions.
In P(z) plots: Yellow lines mark the cluster redshift z = 0.228,  

Object #5307   x,y = (1748, 1930)   RA, Dec = (06:03:30.480, 42:09:21.96) = (90.87700, 42.15610)   BPZ = 4.728 [0.477--4.819]   type = 10.90 (SB11_A_0_l - SB3_B10)   stellarity = 0.36   chisq2 = 260.50   ODDS = 0.28   z_cluster = 0.228