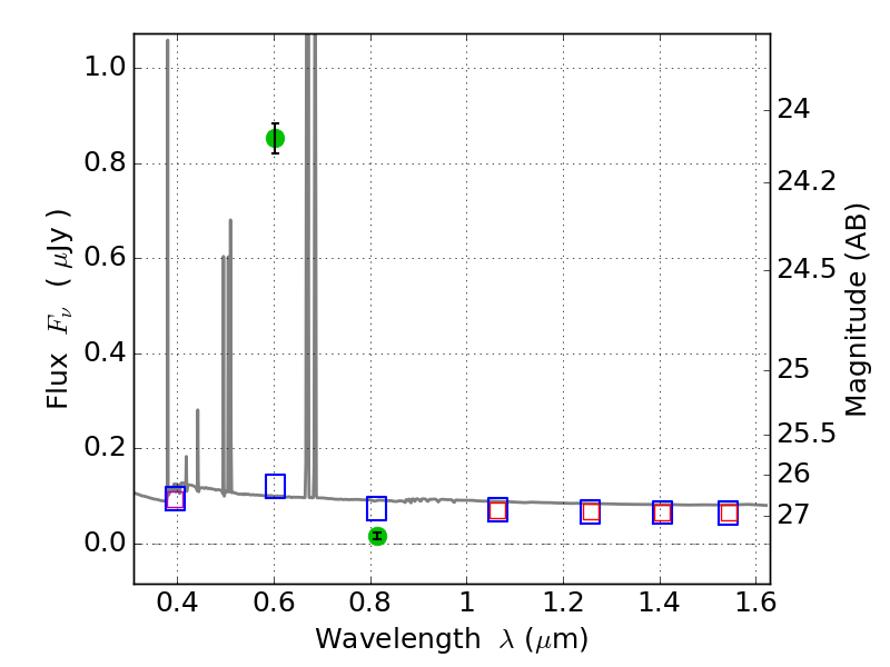
RXS0603+42-S IR detection object #527

Color images and BPZ results
Catalog: 527.cat
Black segments are analyzed here.   Roll mouse over color images to view segments.
Best viewed in a wide browser window (1200 pixels or more).   Download SED & P(z) plots to view larger versions.
In P(z) plots: Yellow lines mark the cluster redshift z = 0.228,  

Object #527   x,y = (2848, 4131)   RA, Dec = (06:03:24.528, 42:11:34.08) = (90.85220, 42.19280)   BPZ = 0.018 [0.010--0.039]   type = 11.00 (SB11_A_0_l)   stellarity = 0.89   chisq2 = 534.20   ODDS = 1.00   z_cluster = 0.228