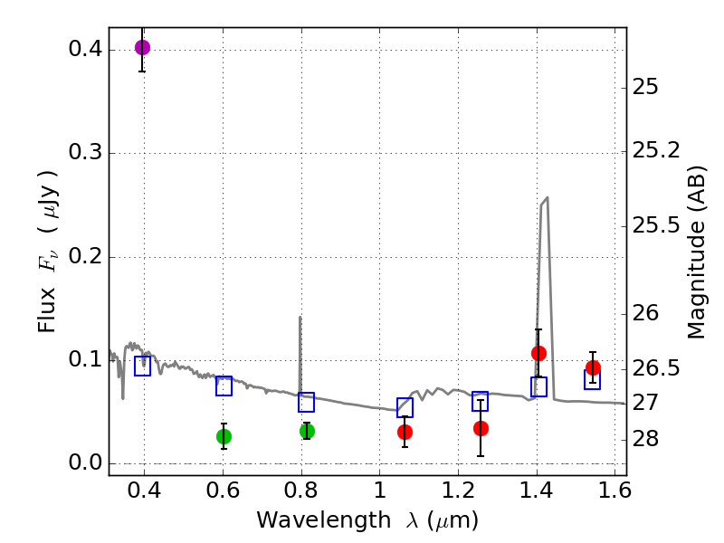
RXS0603+42-S IR detection object #5251

Color images and BPZ results
Catalog: 5251.cat
Black segments are analyzed here.   Roll mouse over color images to view segments.
Best viewed in a wide browser window (1200 pixels or more).   Download SED & P(z) plots to view larger versions.
In P(z) plots: Yellow lines mark the cluster redshift z = 0.228,  

Object #5251   x,y = (1879, 1889)   RA, Dec = (06:03:29.760, 42:09:19.80) = (90.87400, 42.15550)   BPZ = 1.852 [1.201--2.049]   type = 11.00 (SB11_A_0_l)   stellarity = 0.70   chisq2 = 44.01   ODDS = 0.39   z_cluster = 0.228