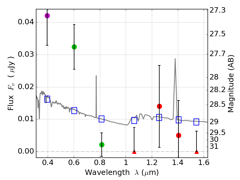
RXS0603+42-S IR detection object #5223

Color images and BPZ results
Catalog: 5223.cat
Black segments are analyzed here.   Roll mouse over color images to view segments.
Best viewed in a wide browser window (1200 pixels or more).   Download SED & P(z) plots to view larger versions.
In P(z) plots: Yellow lines mark the cluster redshift z = 0.228,  

Object #5223   x,y = (2126, 1969)   RA, Dec = (06:03:28.440, 42:09:24.48) = (90.86850, 42.15680)   BPZ = 1.762 [0.455--2.854]   type = 11.00 (SB11_A_0_l)   stellarity = 0.36   chisq2 = 5.99   ODDS = 0.25   z_cluster = 0.228