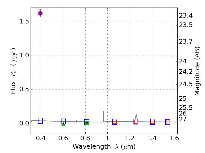
RXS0603+42-S IR detection object #5219

Color images and BPZ results
Catalog: 5219.cat
Black segments are analyzed here.   Roll mouse over color images to view segments.
Best viewed in a wide browser window (1200 pixels or more).   Download SED & P(z) plots to view larger versions.
In P(z) plots: Yellow lines mark the cluster redshift z = 0.228,  

Object #5219   x,y = (3766, 1971)   RA, Dec = (06:03:19.584, 42:09:24.48) = (90.83160, 42.15680)   BPZ = 1.594 [1.021--2.203]   type = 11.00 (SB11_A_0_l)   stellarity = 0.98   chisq2 = 761.60   ODDS = 0.29   z_cluster = 0.228