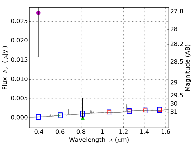
RXS0603+42-S IR detection object #5213

Color images and BPZ results
Catalog: 5213.cat
Black segments are analyzed here.   Roll mouse over color images to view segments.
Best viewed in a wide browser window (1200 pixels or more).   Download SED & P(z) plots to view larger versions.
In P(z) plots: Yellow lines mark the cluster redshift z = 0.228,  

Object #5213   x,y = (979, 1973)   RA, Dec = (06:03:34.632, 42:09:24.84) = (90.89430, 42.15690)   BPZ = 0.364 [0.045--0.863]   type = 7.00 (Scd_B10)   stellarity = 0.73   chisq2 = 5.56   ODDS = 0.19   z_cluster = 0.228